

| Grade | Chemical Name | CAS No | Molecular Structure |
| CAPOX BHT | 2, 6-Di-tert-butyl-p-cresol | 128-37-0 | ![]() |
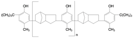
| CAPOX-CPL | Butylated reaction product of p-cresol and dicyclopentadiene | 68610-51-5 | ![]() |
| Antioxidant AO 45 | 4, 4'-Bis (alpha, alpha-dimethylbenzyl) diphenylamine | 10081-67-1 | ![]() |
